
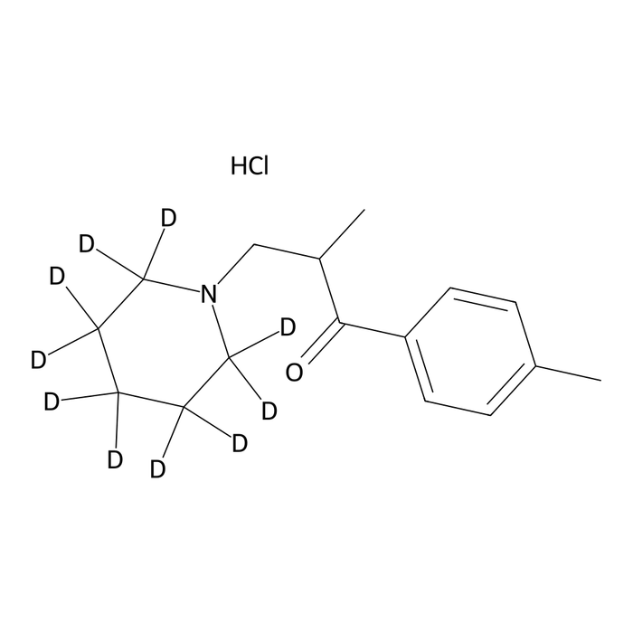
Tolperisone-d10 HCl
CAS: 1185160-65-9
Molecular Formula: C16H13NOD10.HCl
Molecular Weight: 291.89
CRS Part Number: CRST1152
CAS: 1185160-65-9
Molecular Formula: C16H13NOD10.HCl
Molecular Weight: 291.89
CRS Part Number: CRST1152
{"one"=>"Select 2 or 3 items to compare", "other"=>"{{ count }} of 3 items selected"}