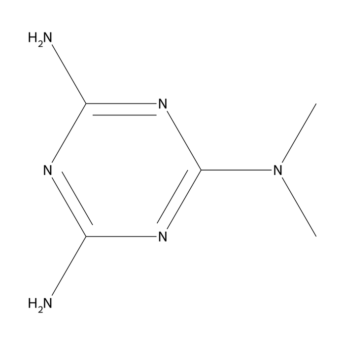
Metformin Related Compound C
CAS: 1985-46-2
Molecular Formula: C5H10N6
Molecular Weight: 154.17
CRS Part Number: CRSM1310
CAS: 1985-46-2
Molecular Formula: C5H10N6
Molecular Weight: 154.17
CRS Part Number: CRSM1310
{"one"=>"Select 2 or 3 items to compare", "other"=>"{{ count }} of 3 items selected"}