Skip to content

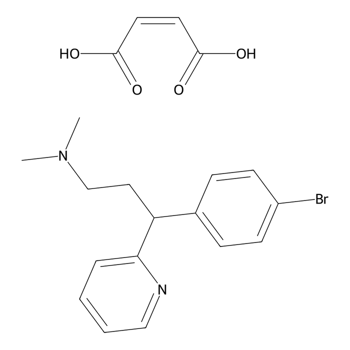
Brompheniramine Maleate

CAS: 980-71-2
Molecular Formula: C16H19BrN2.C4H4O4
Molecular Weight: 435.3
CRS Part Number: CRSB2734

Compare products

{"one"=>"Select 2 or 3 items to compare", "other"=>"{{ count }} of 3 items selected"}

Select first item to compare

Select second item to compare

Select third item to compare

Compare