Skip to content

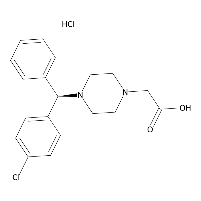
Levocetirizine Impurity B HCl

CAS: 942132-30-1
Molecular Formula: C19H22Cl2N2O2
Molecular Weight: 381.3
CRS Part Number: CRSL1664

Compare products

{"one"=>"Select 2 or 3 items to compare", "other"=>"{{ count }} of 3 items selected"}

Select first item to compare

Select second item to compare

Select third item to compare

Compare