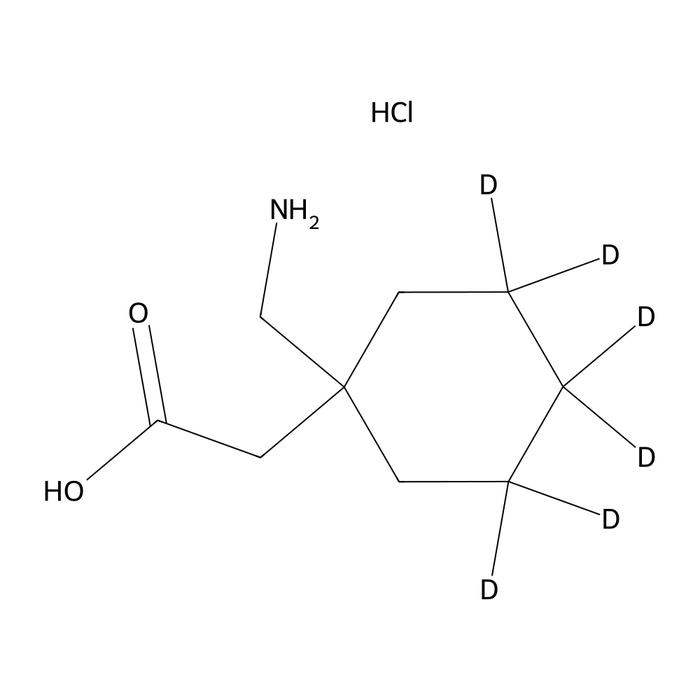
Gabapentin-d6 HCl
CAS: 1432061-73-8
Molecular Formula: C9H11D6NO2. HCl
Molecular Weight: 177.28 36.46
CRS Part Number: CRSG1001
CAS: 1432061-73-8
Molecular Formula: C9H11D6NO2. HCl
Molecular Weight: 177.28 36.46
CRS Part Number: CRSG1001
{"one"=>"Select 2 or 3 items to compare", "other"=>"{{ count }} of 3 items selected"}