
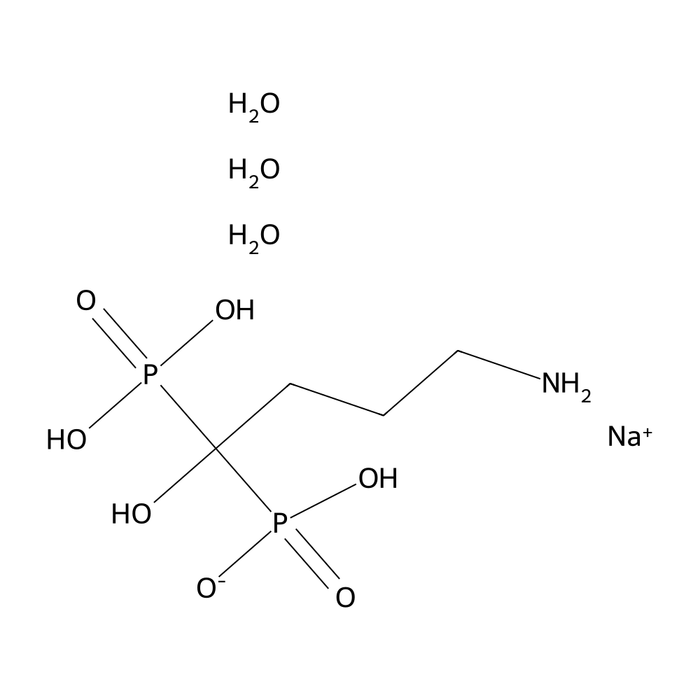
Alendronate Sodium
CAS: 121268-17-5
Molecular Formula: C4H18NNaO10P2
Molecular Weight: 325,12
CRS Part Number: CRSA1399
CAS: 121268-17-5
Molecular Formula: C4H18NNaO10P2
Molecular Weight: 325,12
CRS Part Number: CRSA1399
{"one"=>"Select 2 or 3 items to compare", "other"=>"{{ count }} of 3 items selected"}