
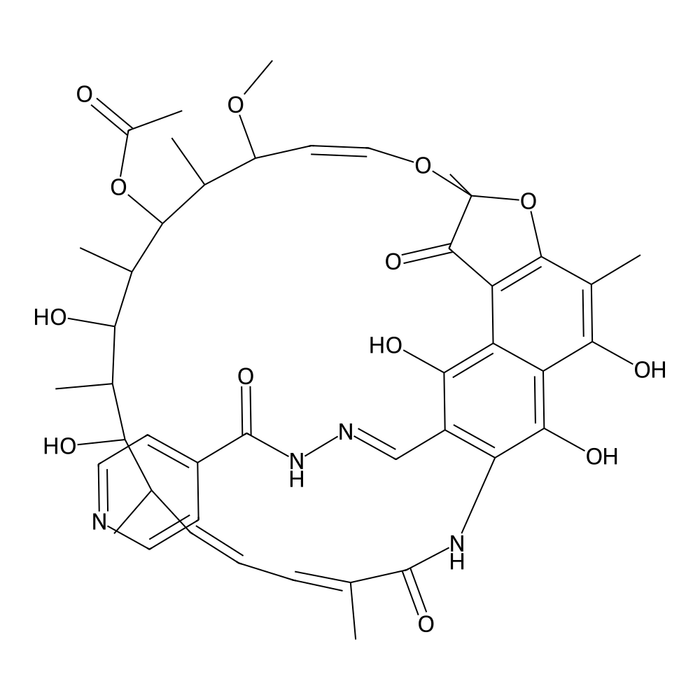
3-Formyl Rifamycin Isonicotinoyl Hydrazone
CAS: 13292-53-0
Molecular Formula: C44H52N4O13
Molecular Weight: 844.92
CRS Part Number: CRSR1481
CAS: 13292-53-0
Molecular Formula: C44H52N4O13
Molecular Weight: 844.92
CRS Part Number: CRSR1481
{"one"=>"Select 2 or 3 items to compare", "other"=>"{{ count }} of 3 items selected"}